| :: MATHS.HU -  - Ingyenes mintafeladat
                 
                   | 206. feladat |  
                          | 
                            
                            Rodolfo, azaz Gács Rezső (1911-1987) bűvész
 Bűvészkedésre egy kínai gyöngyárus inspirálta, aki megtanított neki egy bűvészmutatványt a dunai kavicsokkal. Rendszeresen fellépett a  két Latabár (Árpád és Kálmán), Feleki Kamill, Alfonzó, Karády Katalin társaságában. „Figyeljék a kezemet, mert csalok!”, ez volt a szlogenje. Minden idők egyik legnagyobb beszélő kézügyességi bűvésze és zsebtolvaja volt; rengeteg trükköt ismert a bűvészet minden területéről, ezek közül – saját elmondása szerint – kb. 5000-et tudott bármikor színpadképesen.
 
 Mi most nem fogjuk Rodolfót  csalásban lekörözni, de megmutatjuk egyazon feladaton a bázistranszformáció 3 lehetséges útját, melyek formailag különbözőnek tűnnek, valójában ugyanazon lépéseket követik.
 
 Vigyázat, most csalunk!
 |   |  »» A legnépszerűbb feladatok listája ITT
 
 
 
	::»
      
	
	 
        
        
        |  |  | 
         » Kapcsolódó linkekLineáris algebra, mátrixok
           Ingyenes feladatok (3) 
           Kredites feladatok (24)
        Jelmagyarázat Nehézségi szint: 3
            0 kredit  INGYENES feladat
            3 kredit  KREDITES feladat 
           ..témakör.. (3+10) : A zárójelben levő első szám az ingyenes, a második a Kredites feladatok számát jelenti. |  
		   |  |  
              | 
                   
                     | 176. feladat | Nehézségi szint: | 0 kredit, ingyenes |  
                     | » Lineáris algebra, mátrixok » Vektorok függetlensége |  
                     | 
 |  |  
              | 
                   
                     | 451. feladat | Nehézségi szint: | 5 kredit |  
                     | » Lineáris algebra, mátrixok » Egyenletrendszerek megoldása |  
                     | 
 |  |  
              | 
                   
                     | 183. feladat | Nehézségi szint: | 0 kredit, ingyenes |  
                     | » Lineáris algebra, mátrixok » Determináns és adjungált mátrix |  
                     | 
 |  |  
              | 
                   
                     | 335. feladat | Nehézségi szint: | 4 kredit |  
                     | » Lineáris algebra, mátrixok » Sajátérték, sajátvektor, diagonizálás, mátrixok felbontása |  
                     | 
 |  |  
              | 
                   
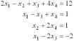
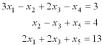
                     | 206. feladat | Nehézségi szint: | 0 kredit, ingyenes |  
                     | » Lineáris algebra, mátrixok » A bázistranszformáció 3 eljárása |  
                     | 
                        
                           | 
                            Rodolfo, azaz Gács Rezső (1911-1987) bűvész
 Bűvészkedésre egy kínai gyöngyárus inspirálta, aki megtanított neki egy bűvészmutatványt a dunai kavicsokkal. Rendszeresen fellépett a  két Latabár (Árpád és Kálmán), Feleki Kamill, Alfonzó, Karády Katalin társaságában. „Figyeljék a kezemet, mert csalok!”, ez volt a szlogenje. Minden idők egyik legnagyobb beszélő kézügyességi bűvésze és zsebtolvaja volt; rengeteg trükköt ismert a bűvészet minden területéről, ezek közül – saját elmondása szerint – kb. 5000-et tudott bármikor színpadképesen.
 
 Mi most nem fogjuk Rodolfót  csalásban lekörözni, de megmutatjuk egyazon feladaton a bázistranszformáció 3 lehetséges útját, melyek formailag különbözőnek tűnnek, valójában ugyanazon lépéseket követik.
 
 Vigyázat, most csalunk!
 |   |  
 |  |  
              | 
                   
                     | 334. feladat | Nehézségi szint: | 5 kredit |  
                     | » Lineáris algebra, mátrixok » Sajátérték, sajátvektor, diagonizálás, mátrixok felbontása |  
                     | 
 |  |  
              | 
                   
                     | 333. feladat | Nehézségi szint: | 5 kredit |  
                     | » Lineáris algebra, mátrixok » Sajátérték, sajátvektor, diagonizálás, mátrixok felbontása |  
                     | 
 |  |  
              | 
                   
                     | 332. feladat | Nehézségi szint: | 4 kredit |  
                     | » Lineáris algebra, mátrixok » Kramer szabály |  
                     | 
 |  |  
              | 
                   
                     | 331. feladat | Nehézségi szint: | 3 kredit |  
                     | » Lineáris algebra, mátrixok » Determináns és adjungált mátrix |  
                     | 
 |  |  
              | 
                   
                     | 256. feladat | Nehézségi szint: | 5 kredit |  
                     | » Lineáris algebra, mátrixok » Determináns és adjungált mátrix |  
                     | 
 |  |  
              | 
                   
                     | 232. feladat | Nehézségi szint: | 4 kredit |  
                     | » Lineáris algebra, mátrixok » Kramer szabály |  
                     | 
 |  |  
              | 
                   
                     | 224. feladat | Nehézségi szint: | 5 kredit |  
                     | » Lineáris algebra, mátrixok » Műveletek mátrixokkal |  
                     | 
 |  |  
              | 
                   
                     | 223. feladat | Nehézségi szint: | 5 kredit |  
                     | » Lineáris algebra, mátrixok » Műveletek mátrixokkal |  
                     | 
 |  |  
              | 
                   
                     | 216. feladat | Nehézségi szint: | 4 kredit |  
                     | » Lineáris algebra, mátrixok » Műveletek mátrixokkal |  
                     | 
 |  |  
              | 
                   
                     | 208. feladat | Nehézségi szint: | 3 kredit |  
                     | » Lineáris algebra, mátrixok » Gauss-féle elimináció - lineáris egyenletrendszerek megoldása |  
                     | 
 |  |  
              | 
                   
                     | 207. feladat | Nehézségi szint: | 3 kredit |  
                     | » Lineáris algebra, mátrixok » Gauss-féle elimináció - lineáris egyenletrendszerek megoldása |  
                     | 
 |  |  
              | 
                   
                     | 192. feladat | Nehézségi szint: | 3 kredit |  
                     | » Lineáris algebra, mátrixok » Bázistranszformáció, kompatibilitás |  
                     | 
 |  |  
              | 
                   
                     | 189. feladat | Nehézségi szint: | 4 kredit |  
                     | » Lineáris algebra, mátrixok » Bázistranszformáció, kompatibilitás |  
                     | 
 |  |  
              | 
                   
                     | 191. feladat | Nehézségi szint: | 4 kredit |  
                     | » Lineáris algebra, mátrixok » Műveletek mátrixokkal |  
                     | 
 |  |  
              | 
                   
                     | 187. feladat | Nehézségi szint: | 3 kredit |  
                     | » Lineáris algebra, mátrixok » Egyenletrendszerek megoldása |  
                     | 
 |  |  
              | 
                   
                     | 186. feladat | Nehézségi szint: | 4 kredit |  
                     | » Lineáris algebra, mátrixok » Egyenletrendszerek megoldása |  
                     | 
 |  |  
              | 
                   
                     | 185. feladat | Nehézségi szint: | 5 kredit |  
                     | » Lineáris algebra, mátrixok » Kramer szabály |  
                     | 
 |  |  
              | 
                   
                     | 184. feladat | Nehézségi szint: | 5 kredit |  
                     | » Lineáris algebra, mátrixok » Műveletek mátrixokkal |  
                     | 
 |  |  
              | 
                   
                     | 182. feladat | Nehézségi szint: | 3 kredit |  
                     | » Lineáris algebra, mátrixok » Inverzmátrix meghatározása |  
                     | 
 |  |  
              | 
                   
                     | 180. feladat | Nehézségi szint: | 4 kredit |  
                     | » Lineáris algebra, mátrixok » Inverzmátrix meghatározása |  
                     | 
 |  |  
              | 
                   
                     | 179. feladat | Nehézségi szint: | 2 kredit |  
                     | » Lineáris algebra, mátrixok » Mátrix rangja, oszlopvektorok |  
                     | 
 |  |  
              | 
                   
                     | 177. feladat | Nehézségi szint: | 5 kredit |  
                     | » Lineáris algebra, mátrixok » Vektorok függetlensége |  
                     | 
                        
                           | 
                            Adott 7 db vektor az e1, e2, e3, e4, e5 ortogonális egységvektorokból álló bázistérben.a/ Számítsd ki a a1, a2, a3, a4 vektorrendszer rangját! Alkothat-e bázist ez a vektorrendszer? Ha nem függetlenek ezek a vektorok, értelmezzük és ellenőrizzük a bázistranszformáció eredményét!
 b/ Alkothat-e bázist a a1, a2, a5, a6, a7  vektorrendszer?
 |   |  
 |  |  
		    |  |  |   
       
       
       
       
         Sorozatok (7+44)
         Differenciálszámítás (6+79)
         Függv., határérték, folytonosság (2+33)
         Többváltozós függvények (2+16)
         Integrálszámítás (4+61)
         Differenciálegyenletek (2+26)
         Komplex számok (3+24)
         Valószínűségszámítás (7+68)
         Matematikai statisztika (0+7)
         Lineáris algebra, mátrixok (3+24)
         Operációkutatás (2+13)
         Különleges módszerek, eljárások (6+4)
         Vektorgeometria (6+20)
         Hatványsorok, Taylor-sor, MacLaurin-sor, Fourier-sorok (1+13)
         Halmazok, szöveges feladatok (2+0)Matematika, operációkutatás oktatásBudapest szívében, tel.: 06-20-396-03-74
 |  |