:: MATHS.HU - Többváltozós függvények - Ingyenes mintafeladat

234. feladat

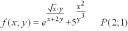
Írd fel a kétváltozós függvény P(3;4) pontjában a v(2;-1) vektor irányában az iránymenti derivált, és gradiens értékét, majd értelmezd a kapott eredményt!


»» A legnépszerűbb feladatok listája ITT

::Témakörök»Többváltozós függvények

   

 » Kapcsolódó linkek

Többváltozós függvények
   Ingyenes feladatok (2)
   Kredites feladatok (16)


Jelmagyarázat
   Nehézségi szint: 3
  0 kredit INGYENES feladat
  3 kredit KREDITES feladat
..témakör.. (3+10) : A zárójelben levő első szám az ingyenes, a második a Kredites feladatok számát jelenti.

Összesen 18 feladat


» Kredites feladatok listája
» Ingyenes feladatok listája
233. feladat Nehézségi szint: 0 kredit, ingyenes
» Többváltozós függvények » Kétváltozós függvény szélsőértéke

Keresd meg az alábbi kétváltozós függvény szélsőértékeit, ha azok léteznek:


380. feladat Nehézségi szint: 5 kredit
» Többváltozós függvények » Kétváltozós függvény szélsőértéke

Keresd meg az alábbi kétváltozós függvény lokális szélsőértékeit, ha azok léteznek:


234. feladat Nehézségi szint: 0 kredit, ingyenes
» Többváltozós függvények » Iránymenti derivált, gradiens

Írd fel a kétváltozós függvény P(3;4) pontjában a v(2;-1) vektor irányában az iránymenti derivált, és gradiens értékét, majd értelmezd a kapott eredményt!


378. feladat Nehézségi szint: 9 kredit
» Többváltozós függvények » Kétváltozós függvény szélsőértéke

Határozd meg az alábbi kétváltozós függvény értelmezési tartományát és szélsőértékeit, ha azok léteznek!


376. feladat Nehézségi szint: 5 kredit
» Többváltozós függvények » Érintősík és normális egyenlete

Határozd meg a 3x2+y2+z2 = 60 felület azon pontjait, melyekben az érintősík párhuzamos a megadott egyenletű "S" síkkal. Ha létezik ilyen pont vagy pontok, írd fel az érintősíkok egyenletét is!


370. feladat Nehézségi szint: 5 kredit
» Többváltozós függvények » Feltételes szélsőérték

Keresd meg az alábbi kétváltozós függvény szélsőértékeit, ha azok léteznek, a g(x;y)=0 feltétel mellett.


369. feladat Nehézségi szint: 5 kredit
» Többváltozós függvények » Kétváltozós függvény szélsőértéke

Keresd meg az alábbi kétváltozós függvény szélsőértékeit, ha azok léteznek.


368. feladat Nehézségi szint: 4 kredit
» Többváltozós függvények » Kétváltozós függvény szélsőértéke

Keresd meg az alábbi kétváltozós függvény szélsőértékeit, ha azok léteznek. Létezik-e nyeregpontja ennek a függvénynek?


367. feladat Nehézségi szint: 6 kredit
» Többváltozós függvények » Kétváltozós függvény szélsőértéke

Keresd meg az alábbi kétváltozós függvény szélsőértékeit, ha azok léteznek. Létezik-e nyeregpontja ennek a függvénynek?


366. feladat Nehézségi szint: 5 kredit
» Többváltozós függvények » Kétváltozós függvény szélsőértéke

Keresd meg az alábbi kétváltozós függvény szélsőértékeit, ha azok léteznek:


240. feladat Nehézségi szint: 3 kredit
» Többváltozós függvények » Kétváltozós függv. határértéke

Határozd meg az alábbi határértékeket, ha azok léteznek!


239. feladat Nehézségi szint: 4 kredit
» Többváltozós függvények » Kétváltozós függv. határértéke

Határozd meg az alábbi határértékeket, ha azok léteznek!


238. feladat Nehézségi szint: 3 kredit
» Többváltozós függvények » Szintvonalak felírása

Írd fel egyenként az alábbi kétváltozós függvény (x;y) (y;z) (x;z) koordinátasíkokkal közös metszésvonalainak egyenletrendszerét, továbbá azon (x;y) síkkal párhuzamos szintvonal egyenletét, mely az f(x;y) felület P0 pontjára illeszkedik!


237. feladat Nehézségi szint: 4 kredit
» Többváltozós függvények » Érintősík és normális egyenlete

Írd fel az alábbi függvény P(1;2) pontbeli érintősíkjának és normális egyenesének paraméteres egyenletrendszerét!


236. feladat Nehézségi szint: 3 kredit
» Többváltozós függvények » Teljes (totális) differenciál

Írd fel az alábbi függvény teljes differenciálját, és add meg értékét a megadott P pontban, valamint értelmezd a jelentését!


235. feladat Nehézségi szint: 3 kredit
» Többváltozós függvények » Teljes (totális) differenciál

Írd fel az alábbi függvény teljes differenciálját, és add meg értékét a megadott P pontban, valamint értelmezd a jelentését!


97. feladat Nehézségi szint: 9 kredit
» Többváltozós függvények » Kétvált. fv. differenciálszámítása

Állapítsd meg az alábbi kétváltozós függvény értelmezési tartományát, majd elsőrendű és másodrendű deriváltját, továbbá azok értelmezési tartományát is!


96. feladat Nehézségi szint: 5 kredit
» Többváltozós függvények » Kétvált. fv. differenciálszámítása

Írd fel az alábbi kétváltozós függvény értelmezési tartományát, majd elsőrendű deriváltjait, továbbá annak értelmezési tartományait is!



» Kredites feladatok listája
» Ingyenes feladatok listája

Bejelentkezés

 Jelszó:
Elfelejtett jelszó
Regisztráció
matek korrepetálás


Mai látogatók: 0
Regisztrált felhasználók:    1901
Ügyfélszolgálat (9-22 között)
06 (20) 396-03-74
VÁRJUK A VÉLEMÉNYED!

Mely témakörök érdekelnek Téged?
 Sorozatok
 Differenciálszámítás
 Függv., határérték, folytonosság
 Többváltozós függvények
 Integrálszámítás
 Differenciálegyenletek
 Komplex számok
 Valószínűségszámítás
 Matematikai statisztika
 Lineáris algebra, mátrixok

Hol hallottál a maths.hu oldalról?
 az interneten találtam
 újságban olvastam
 plakáton láttam
 ismerősöm mesélte



Szavazás állása

Egyéb oldalak

www.webtelefonkonyv.hu

Javasolt böngészők

Microsoft Internet ExplorerMicrosoft Edge
Google ChromeGoogle Chrome
Link firefox.huFirefox
OperaOpera